

Hold up, fam! Dame Dash is turning up the heat on his longtime friction with Cam’ron. Word on the street is he’s looking for a major bag β talking a cool $300 million.
According to the tea spilled by Dusko Poppington on IG, Dame’s law dogs are coming at Cam hard. They’re saying Cam’s been running his mouth, spreading false info about Dame, his queen Raquel Horn, and their company, The Dash Group.
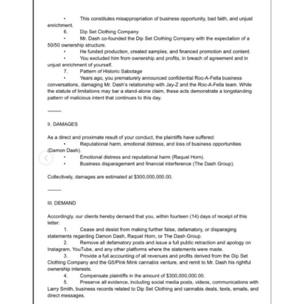
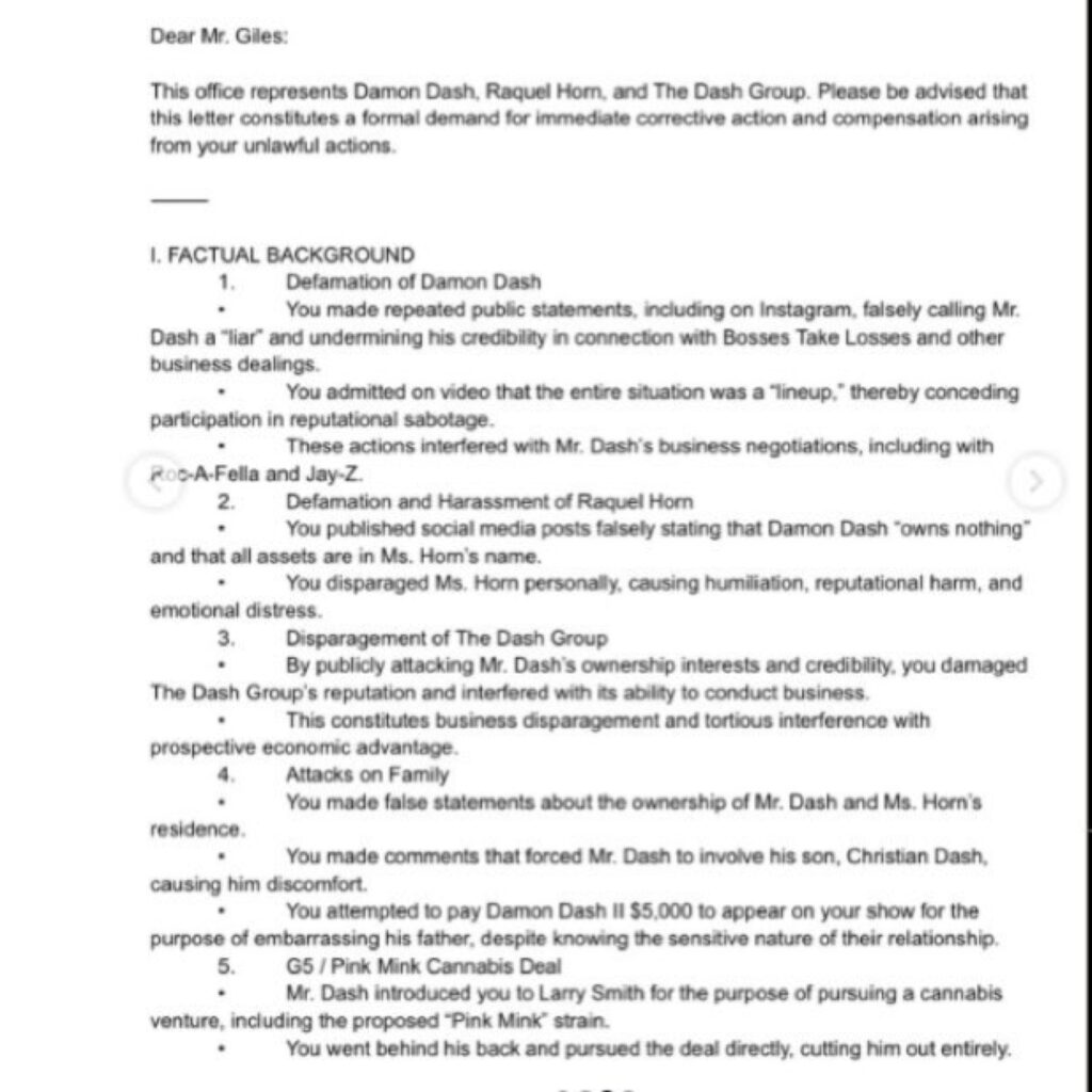
The legal eagles laid out a whole list of issues: claiming Cam allegedly dragged Dame’s and Raquel’s names through the mud, tried to snake him out of a cannabis deal, and even snatched ownership and profits from Dip Set Clothing Company β which Dame says he helped build from the ground up. And to add insult to injury, Cam supposedly exposed confidential Roc-A-Fella talks, messing with Dame’s bond with Jay-Z. Ouch!
But it’s not just business; Dame’s also calling out Cam for allegedly harassing him, trying to get to his sons, and straight-up sabotaging his hustle.
Now, the lawsuit is demanding $300 million for all the damage done β “reputational harm, emotional distress, and loss of business opportunities,” plus the works! Dame’s team isn’t playing, laying down demands like a cease and desist, social media scrub downs, a public apology, ownership rights in Dip Set Clothing and G5/Pink Mink Cannabis, and a full breakdown of all those sweet profits.
This is just the latest chapter in a never-ending saga between two Harlem heavyweights. Whether this gets sorted in court or just becomes another legendary hip hop beef tale, we’re here for the drama!
[efb_feed fanpage_id=”BlackCosmopolitan” words_limit=”25″ post_limit=”1″ skin_id=”115759″ cache_unit=”1″ cache_duration=”days” live_stream_only=”0″ load_more=”0″ links_new_tab=”1″ show_like_box=”0″] _________ Disclaimer: For Education and discussion purposes. Please note no copyright infringement is intended, was recorded on BlkCosmo’s own equipment, and we do not own nor claim to own any of the original recordings used in this video and intend to use this as ‘fair use’.










